Chris Allen Veteran Posted June 14, 2004 Veteran Share Posted June 14, 2004 ∑(n=0, 10): ∫[?(MM)?ⁿ - k] dM Can anyone figure out this answer simplified for me? That would be super, thanks. Link to comment Share on other sites More sharing options...
beh Posted June 14, 2004 Share Posted June 14, 2004 Isn't that a geometric series? I dunno how to simplify it though. Link to comment Share on other sites More sharing options...
Verbose. Posted June 14, 2004 Share Posted June 14, 2004 ∑(n=0, 10): ∫[?(MM)?ⁿ - k]dM When do you get into this kind of stuff... calculus? All I know is the part before the ":" hehe. Link to comment Share on other sites More sharing options...
beh Posted June 14, 2004 Share Posted June 14, 2004 When do you get into this kind of stuff... calculus?All I know is the part before the ":" hehe. yah, the part before the colon is all i know too hah, it looks so complex. Link to comment Share on other sites More sharing options...
Chris Allen Veteran Posted June 14, 2004 Author Veteran Share Posted June 14, 2004 Calculus...without numbers :p Link to comment Share on other sites More sharing options...
Verbose. Posted June 14, 2004 Share Posted June 14, 2004 Wait, I take that back... I know ? is plus or minus:pp and ∫ is derivative. Link to comment Share on other sites More sharing options...
rumbleph1$h Posted June 14, 2004 Share Posted June 14, 2004 Wait, I take that back... I know ? is plus or minus:pp and ∫ is derivative. ∫ = integral ;)) EDIT: and BTW, is this 'Calculus 3'?? I'm taking Calc 3 in the fall..... :happy:: Link to comment Share on other sites More sharing options...
bwx Posted June 14, 2004 Share Posted June 14, 2004 Wait, I take that back... I know ? is plus or minus:pp and ∫ is derivative. Isn't f'(var) the derivative? As far as I know ∫ is the integral symbol. EDIT: rumbleph1sh beat me to it :pp> bwx Link to comment Share on other sites More sharing options...
Verbose. Posted June 14, 2004 Share Posted June 14, 2004 Ugh that's what I meant, sorry. I just finished precalc. Link to comment Share on other sites More sharing options...
evo0o Posted June 14, 2004 Share Posted June 14, 2004 is the 'k' in the eqn a constant? Link to comment Share on other sites More sharing options...
Verbose. Posted June 14, 2004 Share Posted June 14, 2004 I think I remember something about k= constant in a class prior to precalc actually. I'm pretty sure k is a constant, yes, but I'd rather have NFC tell you. Link to comment Share on other sites More sharing options...
kawai Posted June 14, 2004 Share Posted June 14, 2004 Wave,Jun 14 2004, 04:18] ∑(n=0, 10): ∫[?(MM)?ⁿ - k] dMCan anyone figure out this answer simplified for me? That would be super, thanks. I might know how do it if it's just postive or negative, not sure if you can just take two cases... Link to comment Share on other sites More sharing options...
kjordan2001 Posted June 14, 2004 Share Posted June 14, 2004 What does the MM mean? M^2? Link to comment Share on other sites More sharing options...
Verbose. Posted June 14, 2004 Share Posted June 14, 2004 Seems logical. Link to comment Share on other sites More sharing options...
p0welly Posted June 14, 2004 Share Posted June 14, 2004 I have no clue :no: Link to comment Share on other sites More sharing options...
Masereth Posted June 14, 2004 Share Posted June 14, 2004 (edited) I have absolutely NO idea if my working is right, and I would bet that it is wrong, seeing I don't really know how to handle the ? and I didn't do any sort of advanced calculus. Either way I like to have a go at these sorts of things to see how I do, so if you get the answer, show me how wrong I actually am:laugh:: I am assuming M and k are constants of some kind. ∑(n=0, 10): ∫[?(MM)?ⁿ - k] dM ∫[?(MM)?ⁿ - k] dM = ∫[?(M)^4n - k] dM = ∫ [? 4nlog(M) ? log(k)] dM = ?(4nlog(M)?/2) ? log(k) + c (//Thanks to elliot, I forgot my constant as there are no limits of intergration). = ?4nlog(M)? - 2log(k) + c = ?M^8n - k^2 + c (//not sure about these last 2 lines, so you are probably better trying the answer 2 lines up) Now from here you just sub n = 0 to 10 in and work out the addition of the series. I won't bother doing it seeing I don't know what M and K are equal to. :)pe this helps :) Edited June 14, 2004 by Masereth Link to comment Share on other sites More sharing options...
elliot Posted June 14, 2004 Share Posted June 14, 2004 Pff, looks way more complicated than i've seen before I'd probably solve it like this with the calculas i have been taught (not much) (MM)/(2n+1) -kM + c I haven't done it for ages though :p i might be a little rusty Link to comment Share on other sites More sharing options...
Verbose. Posted June 14, 2004 Share Posted June 14, 2004 I wish NFC would explain what this eqn is supposed to do... :whistle: [offtopic]I don't know a lot about programming, I wish I knew much, much more, but I really like your sig haha.[/offtopic] Link to comment Share on other sites More sharing options...
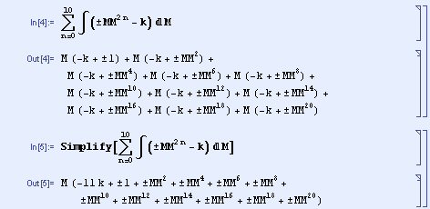
SaiKoR Posted June 15, 2004 Share Posted June 15, 2004 This is what Mathematica told me... whether it's correct or not is another story. Link to comment Share on other sites More sharing options...
Ghatak Posted June 15, 2004 Share Posted June 15, 2004 no idea here. seems like hard question Link to comment Share on other sites More sharing options...
SaiKoR Posted June 15, 2004 Share Posted June 15, 2004 Here's a simplified version Link to comment Share on other sites More sharing options...
Recommended Posts