gomisweird Posted October 28, 2007 Share Posted October 28, 2007 1) I know how to compute the area, but how the hell do you solve this by-hand? 2) How do you even KNOW how to graph this and find the area around y-axis? http://www.math.ucsd.edu/~hhohnhol/teachin...h20b/Quiz2a.pdf Link to comment Share on other sites More sharing options...
kylejn Posted October 28, 2007 Share Posted October 28, 2007 To do the first problem, just sketch out the graph and then find the area of the shaded area in the first, second, and fourth quadrants. First quadrant is just a triangle, but the second and fourth require integrals. For the next part, just plug 0 in for x and y to get the intersection points, then plug in a few more numbers to get a rough idea of how it should look. For finding the volume of it after rotating it around the y-axis, you'll need a formula that I don't remember off the top of my head. Link to comment Share on other sites More sharing options...
gomisweird Posted October 28, 2007 Author Share Posted October 28, 2007 I don't seem to understand. How would you even graph these? The second one is especially hard. Link to comment Share on other sites More sharing options...
The2 Posted October 28, 2007 Share Posted October 28, 2007 The simplest way to solve this is to use integrals. http://en.wikipedia.org/wiki/Integral Link to comment Share on other sites More sharing options...
ObiWanToby Posted October 28, 2007 Share Posted October 28, 2007 Well, you should know how to graph these. You know -y^2 is a paraboloa that is sideways facing to the left. And the other is just a line. First you take the basic shape that you know, then just plug in points for x to get a y, and do that like 3 times for each and you have a basic shape. As for finding the area, for a dy integral it is right minus left and for a dx it is top minus bottom... then integrate at the intersection points of each graph. Link to comment Share on other sites More sharing options...
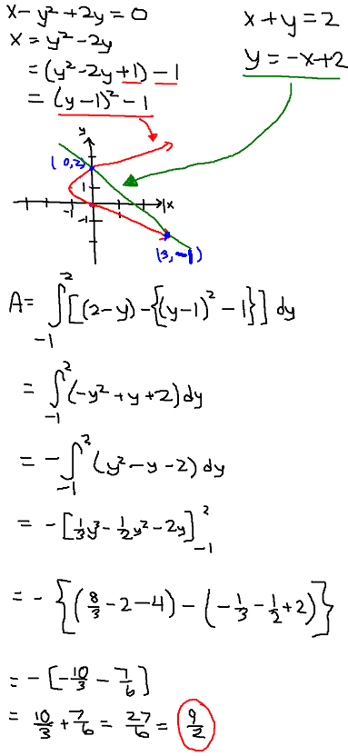
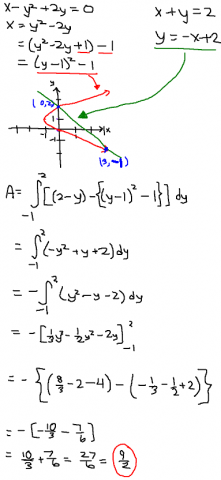
gaurav Posted October 28, 2007 Share Posted October 28, 2007 (edited) Er...could you please post the questions? I don't have adobe reader. But from what I see, y^2, -y^2, y^2 +/- c are elementary graphs....parabolas. For example -y^2 is a parabola opening towards the left, and touching the y-axis at origin. EDIT: Nevermind, I just used these neat pdf converters. Q2. We try to reduce the equation into (x - constant)^2 = (y - constant)^2 + constant, where each constant may be different. The given equation then becomes x^2 + 1 = (y-1)^2 This parabola has vertex as (-1, 1) The other equation is a straight line. The area sketched would be like the one attached. To compute it, just use integrals. Edited October 28, 2007 by gaurav Link to comment Share on other sites More sharing options...
gaurav Posted October 28, 2007 Share Posted October 28, 2007 The second question will be done like this: Volume swept when revolved by a small angle dθ = 2*(2*1*π*dθ) Volume of the entire solid = integral (4*π*dθ) ***The limits are 0 to π = 4*π*π Voila! Link to comment Share on other sites More sharing options...
murderdoll Posted October 28, 2007 Share Posted October 28, 2007 Calculus gives me the shivers :p good luck on your course Link to comment Share on other sites More sharing options...
gomisweird Posted October 29, 2007 Author Share Posted October 29, 2007 I can't understand Gaurav....ugh. I wish I could but can someone just draw it out on paint? Link to comment Share on other sites More sharing options...
m0fo Posted October 29, 2007 Share Posted October 29, 2007 (edited) I can't understand Gaurav....ugh. I wish I could but can someone just draw it out on paint? did somebody say 'paint'? its my specialty :p Edited October 29, 2007 by m0fo Link to comment Share on other sites More sharing options...
Fred 69 Posted October 29, 2007 Share Posted October 29, 2007 Wow, I did'n know Neowin provided math help :o I did that last semester at uni, can't really explain it much more than m0fo or gaurav though :/ Link to comment Share on other sites More sharing options...
gomisweird Posted October 29, 2007 Author Share Posted October 29, 2007 Wow thanks a lot!!! That helped man thanks mofo! Link to comment Share on other sites More sharing options...
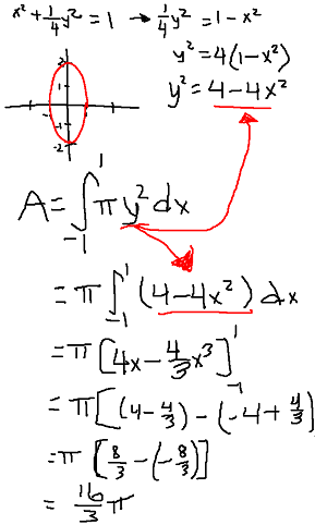
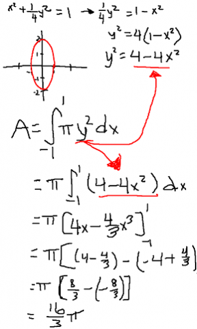
gaurav Posted October 29, 2007 Share Posted October 29, 2007 Dammit I think I screwed up both questions....lol So here's the correct way (I promise its right this time!): The ellipse one seems wrong, so I'll do it: In the integration, he took π*y^2*dx. This is when ellipse is revolved around X-axis. The question says Y-axis, so you take integral (π*x^2*dy) with the limits -2 -> 2. Solve it and the answer comes to be (8 π)/3 Link to comment Share on other sites More sharing options...
gomisweird Posted October 30, 2007 Author Share Posted October 30, 2007 in the area one where he just adds 1 and substracts one, how do u know to do that? Link to comment Share on other sites More sharing options...
Recommended Posts